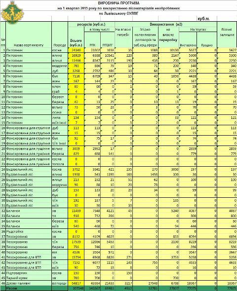
Лісогосподарськими підприємствами Львівського ОУЛМГ сформована виробнича програма на 1 квартал 2015 року. Особливістю програми є соціальний напрямок діяльності наших підприємств. На потреби місцевих громад планується виділити понад 5000 м3 ділової деревини та 27,7 тис. м3 дров паливних.
У першому кварталі планується заготовити 207,6 тис. м3 деревини, в т. ч. 143,6 тис. м3 від рубок головного користування.
Вся заготовлена деревина згідно діючого законодавства буде реалізована через загальні та спеціалізовані біржові торги. Загальні торги відбудуться 8 грудня на Товарній біржі «Львівська Універсальна».
Запрошуємо усі деревообробні підприємства прийняти участь у торгах, з метою забезпечення власних виробничих потужностей необхідною кількістю сировини. Спеціалізовані торги відбудуться 3 грудня на Товарній Біржі «Київська агропромислова товарна біржа».
На власних цехах переробки планується переробити понад 37,0 тис. м3. На переробці деревини у підприємств працює 453 робітники із середньою заробітною платою 3391 грн.
Вся діяльність лісогосподарських підприємств націлена на підвищення рівня заробітної плати працівників, своєчасної сплати податків.
ВИРОБНИЧА ПРОГРАМА
на 1 квартал 2015 року по використанню лісоматеріалів необроблених
по Львівському ОУЛМГ
Відділ лісових ресурсів,
машин та технологій Львівського ОУЛМГ





