В Україні завершилась новорічна ялинкова кампанія, яка офіційно розпочалась у грудні 2014 року, під час якої проводилась активна робота по охороні хвойних насаджень.
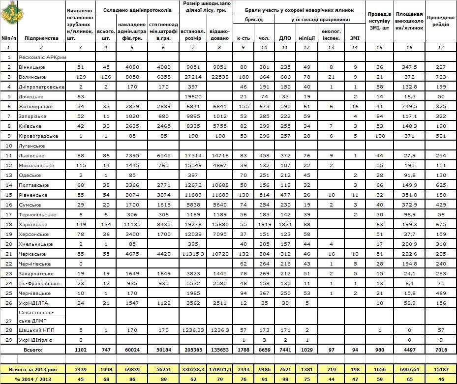
Для запобігання проявам браконьєрства у лісах Держлісагентства працювало 1783 рейдові бригади у складі 8,6 тисяч працівників державної лісової охорони, міліції, екологічної інспекції, представників засобів масової інформації. Спільними зусиллями лісівників та правоохоронців було проведено більше 7 тис. рейдів.
Хоча відбувалося постійне чергування працівників лісової охорони на основних шляхах в'їзду-виїзду із лісових масивів, проте уникнути випадків правопорушення не вдалося.
Всього за період новорічної кампанії виявлено понад 1093 незаконно зрубаних ялинок. Як наслідок, на лісопорушників складено 738 протоколів, накладено майже 60 тис. адмін. штрафів, стягнено – близько 50 тис. грн. При цьому, сума шкоди, заподіяної лісу, склала 203 тис. грн., відшкодовано - 133,5 тис. грн.
Робота рейдових бригад та сама ялинкова кампанія широко висвітлювалася в ЗМІ. Організовано 975 виступів у пресі, на радіо, телебаченні як регіонального рівня так і центрального.
Нагадуємо, що за ініціативи Держлісагентства 24 листопада 2014 року було видано наказ «Про забезпечення охорони хвойних насаджень від незаконного вирубування напередодні Нового 2015 року», який був доведений до всіх обласних управлінь лісового та мисливського господарства.
ІНФОРМАЦІЯ
про результати роботи з охорони хвойних насаджень від незаконного вирубування у передноворічний період 2015 року





